- 
          
          카본 플레이트 러닝화 장점과 효율성에 대한 연구 논문Healthy life 2024. 7. 24. 12:32
카본 플레이트 러닝화를 신고 러닝시 효율성에 대한 연구 논문
안녕하세요.
부쩍 마라톤을 즐기시는 분들이 많아져서
오늘은 카본 플레이트를 소재로 한 러닝화가 인기를 끌고 있어
카본플레이트를 신고 뛴 그룹과 일반 신발을 뛰고 비교한 실험 연구 논문이 있어
소개해드리려 합니다.
< 목 차 >
1. 카본 플레이트 운동화?
2. 카본 플레이트 러닝화를 신고 진행한 러닝 실험 소개
3. 카본 플레이트 러닝화를 신고 진행한 러닝 실험 방법
4. 실험 통계 분석
5. 실험 결과
1. 카본 플레이트 운동화?
2017년 나이키 베이퍼 플라이 4%(VF4) 신발이 출시된 이후 엘리트 마라톤 경주는
이 신발과 유사한 모델을 사용하는 선수들에 의해 지배되고 있습니다.
그렇다면
카본 플레이트 소재란 무엇일까요?
카본 플레이트 운동화 그럼 카본 플레이트 러닝화의 장점에 대해 알아볼까요?
카본플레이트 신발은 신발 밑창에 탄소섬유로 만든 플레이트(판)을 삽입한 운동화입니다.
이 신발은 주로 달리기용으로 설계되었으며,
탄소 섬유 플레이트는 운동 성능을 향상하기 위해 몇 가지 주요 이점을 제공합니다.
1) 에너지 효율성 증가
카본 플레이트가 발의 굴곡을 줄여 주어, 착지 시 에너지가 더 효율적으로 전환됩니다.
이를 통해 주자가 같은 에너지를 덜 사용하고도 더 빠르게 달릴 수 있습니다.
2) 반발력 향상
탄소섬유는 매우 가벼우면서도 강한 소재로, 플레이트가 신발의 앞부분에서 발가락을 굽히는 동안
반발력을 제공하여 추진력을 증가합니다.
3) 안정성 제공
플레이트가 신발의 구조적 강성을 높여 발의 안정성을 제공하고,
특히 긴 거리 달리기나 고강도 훈련 시 발에 가해지는 부담을 줄여 줍니다.
2. 카본 플레이트 러닝화를 신고 진행한 러닝 실험 소개
https://www.sciencedirect.com/science/article/pii/S2095254621001113?via%3Dihub
카본 플레이트 러닝화를 신고 진행한 러닝 실험 소개 그렇다면 위와 같이 여러 이점이 있는 이러한 카본 플레이트 러닝화가 정말
실제 러닝에서 그 효과를 발휘하는지 연구한 실험 논문이 있어 가져와 봤습니다.
실험 소개
이 신발은 기존의 도로 주행 신발에 비해 달리기 중 대사 에너지 소비를 평균 4% 감소시켜준다고 해서
나이키 베어플라이 4%(VF4)라는 이름이 붙게 되었습니다.
실험에서는 우리가 마라톤 대회 진행 시 평평하지 않은 마라톤 코스의 오르막과 내리막 구간에서도
유사한 이점이 있는지 여부를 조사하기 위해 실험이 진행되었습니다.
3. 카본 플레이트 러닝화를 신고 진행한 러닝 실험 방법
연구진은 콜로라도 대학 기관 검토 위원회와 헬싱키 선언에 따라 서면 동의를 제공하고
지원한 16명의 건강한 남성으로 모집하였습니다.( 나이 27+-5.4세, 몸무게 66.5kg+-4kg, 키 178.8cm+-4.9cm)
모든 실험자들의 발 사이즈는 US9.5 또는 US10 사이즈의 신발을 신고
마라톤 경험이 있는 실험자들로 테스트했습니다.
비교 신발

나이키 베어플라이(VF4) 와 나이키 스트릭(S6) -나이키 베어플라이(VF4)와 나이키 스트릭(S6)과 비교했습니다.
두 개의 신발의 질량은 유사합니다.
테스트는
경사에 대한 2개의 테스트
속도 감소에 대한 2개의 테스트
레벨 2단계 증가에 대한 테스트를 진행하였습니다.
4. 실험 통계 분석
R-Studio(www.rstudio.com)을 사용하여 학년과 신발 모델의 2가지 요인을 고려한 양방향 반복
측정 분산 분석을 사용하여 조건 간 대사력(W/kg)을 비교했습니다.
우리는 통계적으로 비교하여 느린 구성요소에 대해 평가했습니다.
또한 우리는 테스트를 통해 내리막 달리기와 레벨 달리기 사이와 오르막 달리기와 레벨 달리기 사이의
신발 간 대사력 백분율 차이를 비교했습니다.
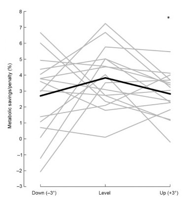
5. 실험 결과

카본 플레이트 러닝화를 신고 러닝시 효율성에 대한 연구 논문 VF4 신발은 S6 신발에 비해 레벨, 오르막, 내리막 트레드밀 러닝 시 대사력이 현저히 낮았습니다.
평균적으로 VF4 신발은 러닝 중 16명의 피험자 모두에게 ,
오르막 러닝 중 15명의 피험자에게,
내리막 러닝 중 14명의 피험자에게 대사 절약을 제공했습니다.

위 그래프는 나이키 베이퍼플라이으 대사력 차이를 기록한 것인데
하강, 경사도와 레벨 증가 시
평균적으로 VF4신발이 대사력을 더 절약시켰습니다.
결과적으로
기본 레이싱화에 비해 나이티 베이퍼 플라이 4% 신발이 레벨, 오르막, 내리막 트레이드밀 러닝시
상당한 신진대사 절감 효과를 제공한다는 것을 발견했습니다.
오르막 주행 시 절감되는 비율은 약 1% 적습니다.
주기적으로 러닝과 마라톤 대회를 즐기신다면
한번 카본플레이트화에 도전해 보시는 것도 좋을 것 같네요 :)
 
